[MATERI] MATRIKS - MATEMATIKA EKONOMI

DUNIA MATRIKS



PENGERTIAN MATRIKS

Matriks merupakan himpunan bilangan atau variabel yang disusun dalam bentuk empat persegi panjang terdiri dari baris dan kolom. Bentuk matriks ditulis dengan tanda kurung seperti ( ) atau [ ]. Notasi dari matriks selalu huruf besar, seperti A atau B dan seterusnya. Bentuk umum matriks yaitu seperti:

Artinya matriks A memiliki ordo 2×2, yaitu mempunyai dua baris dan dua kolom. a11 a12  merupakan baris dari suatu matriks A dan a11 a21adalah kolom dari suatu matriks A.


Adapun beberapa matriks ordo lainnya seperti:
  
Matriks Identitas
Memiliki notasi I dan selalu berordo sama. Ciri khasnya yaitu mempunyai angka satu yang selalu diagonal.


OPERASI MATRIKS

Operasi Penjumlahan dan Pengurangan Matriks
Dalam matriks penjumlahan dan pengurangan, matriks haruslah memiliki ordo yang sama seperti matriks A ordo matriks B ordo . Apabila berbeda maka tidak bisa dilakukan operasi penjumlahan maupun pengurangan.

Sehingga syarat matriks yang dapat dijumlah dan dikurang harus memiliki ordo yang sama.

Operasi Perkalian Matriks
Perkalian matriks dimulai dari suatu baris matriks dikalikan dengan suatu kolom matriks. Perhatikan matriks berikut:


Perkalian tersebut dilakukan juga dengan mengalikan baris pertama dan kedua matriks A terhadap kolom kedua matriks B.
Matriks dengan ordo yang berbeda dapat dilakukan jika kolom matriks A sama dengan baris matriks B. Seperti matriks C berordo (2x2) dengan matriks N berordo (2x3), maka akan menghasilkan matriks berordo (2x3).

Perkalian skalar
Perkalian matriks yang langsung dikalikan dengan bilangan skalar atau bilangan bebas terhadap suatu mariks.


TRANPOSE MATRIKS

Merupakan suatu matriks yang dibalik dimana baris matriks dijadikan kolom pada matriks transpose. Dan memiliki notasi , perhatikan matriks berikut:


DETERMINAN MATRIKS

Matriks yang memiliki ordo yang sama yaitu , determinan matriksnya yaitu dengan kali silang serta biasanya ditulis det(a) atau | |. Bentuk umumnya seperti berikut:

Sedangkan untuk matriks ordo 3x3 memiliki ketentuan ataupun cara lain dalam mencari
determinan matriks, yaitu:


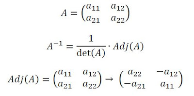
INVERS MATRIKS

Matriks ordo 2x2
Untuk mencari invers matriks ordo ini menggunakan rumus:

Matriks ordo 3x3
Untuk mencari invers matriks ini, menggunakan rumus yang sama dengan matriks namun adjoin dari
matriks tersebut diubah menjadi matrik kofaktor yang kemudian ditranpose. 

Matriks kofaktor dilakukan dari B11 sampai B33 atau mencari sembilan matriks kofaktor. Setelah
diketahui keseluruhan matriks kofaktor, maka matriks tersebut ditranpose. Rumus invers matriks
ordo adalah:



Komentar

Postingan populer dari blog ini

[MATERI] CHAPTER 10 AKL 2 - ISU ISU LAIN DALAM PELAPORAN KONSOLIDASI

[MATERI] KORESPONDENSI - BAHASA INDONESIA

[MATERI] BHINNEKA TUNGGAL IKA - PKN